THÔNG BÁO ĐẤU GIÁ TÀI SẢN
Công ty Đấu giá Hoà Bình vừa thông báo đấu giá quyền sử dụng đất tại đường Quy Hóa, phường Lào Cai, tỉnh Lào Cai.
Công ty Đấu giá Hợp danh Hoà Bình thông báo đấu giá:
Tổ chức hành nghề đấu giá tài sản: Công ty đấu giá hợp danh Hòa Bình.
Địa chỉ: SN 080, đường Quy Hóa, phường Lào Cai, tỉnh Lào Cai.
Người có tài sản bán đấu giá: Ban Quản lý dự án Đầu tư xây dựng khu vực Bảo Thắng, tỉnh Lào Cai.
Địa chỉ: SN 053 đường 19/5, xã Bảo Thắng, tỉnh Lào Cai.
Thời gian, địa điểm đấu giá tài sản: Từ 8 giờ 30 phút ngày 30/3/2026 tại Hội trường UBND xã Bảo Thắng, tỉnh Lào Cai.
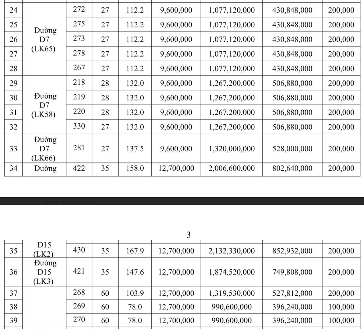
Tài sản đấu giá: Quyền sử dụng đất đối với 63 thửa đất, có vị trí tại Hạ tầng kỹ thuật khu dân cư Ba Đình; Hồ Trung tâm; Hạ tầng kỹ thuật khu đô thị mới Phú Long, xã Bảo Thắng, tỉnh Lào Cai với tổng diện tích: 7, 837,4 m2.
- Mục đích sử dụng đất: Đất ở tại đô thị.
- Thời hạn sử dụng đất: Lâu dài.
- Cơ sở hạ tầng: Đất đã được thu hồi và hoàn thành bồi thường, hỗ trợ, tái định cư hoặc không phải bồi thường, hỗ trợ, tái định cư; trong khu vực dự án có hạ tầng giao thông đã được kết nối;
- Hình thức giao đất: Nhà nước giao đất có thu tiền sử dụng đất thông qua đấu giá quyền sử dụng đất.
- Phương thức đấu giá: Đấu giá từng thửa đất để giao đất làm nhà ở cho hộ gia đình, cá nhân có đủ điều kiện tham gia xã Bảo Thắng quản lý và đã giải phóng mặt bằng sạch, quy hoạch chia lô đấu giá.
Giá khởi điểm, tiền đặt trước, tiền hồ sơ:




Người tham gia đấu giá nộp khoản tiền đặt trước bằng chuyển khoản vào tài khoản: 8630005555 của Công ty đấu giá hợp danh Hòa Bình mở tại Ngân hàng Đầu tư và Phát triển Việt Nam - Chi nhánh Lào Cai.
Thời gian nộp tiền đặt trước: Từ 7 giờ 30 phút ngày 12/3/2025 đến 17 giờ 00 phút ngày 25/3/2025 (Trong giờ hành chính) trước ngày tổ chức phiên đấu giá 02 ngày làm việc).
Tiền bán hồ sơ mời tham gia đấu giá: 100.000 đồng - 200.000 đồng/01 hồ sơ.
Hình thức đấu giá, phương thức đấu giá
- Hình thức đấu giá: Đấu giá bằng bỏ phiếu gián tiếp.
- Phương thức đấu giá: Trả giá lên.
Điều kiện, Cách thức đăng ký tham giá đấu giá
Người thuộc đối tượng được tham gia đấu giá phải bảo đảm các điều kiện sau:
- Có đầy đủ thành phần hồ sơ đăng ký tham gia đấu giá theo quy định;
- Các thành viên trong cùng một Hộ gia đình không được tham gia đấu giá trong cùng 1 (một) thửa đất;
- Đăng ký tham gia đấu giá thông qua việc mua, nộp hồ sơ tham gia đấu giá hợp lệ và tiền đặt trước trong thời hạn đã được quy định;
- Cam kết thực hiện đầy đủ trách nhiệm của mình trong quá trình tham gia đấu giá và sau khi trúng đấu giá;
- Chấp nhận từ mức giá khởi điểm của tài sản đấu giá;
- Người tham gia đấu giá có thể ủy quyền cho người khác, việc ủy quyền được thực hiện bằng văn bản ủy quyền và được công chứng, chứng thực theo quy định. Người đăng ký tham gia đấu giá không được uỷ quyền cho người khác khi người được uỷ quyền này cũng là người tham gia đấu giá trong cùng một thửa đất. Một người không được uỷ quyền hoặc nhận uỷ quyền cho từ 02 người trở lên để tham gia đấu giá trong cùng thửa đất mình đăng ký.
Cách thức đăng ký: Người đăng ký tham gia đấu giá trực tiếp đến tham khảo hồ sơ, đăng ký tại Công ty đấu giá hợp danh Hòa Bình và Ban Quản lý dự án Đầu tư xây dựng khu vực Bảo Thắng.
Hồ sơ mời tham gia đấu giá gồm: Phiếu đăng ký tham gia đấu giá quyền sử dụng đất; Quy chế cuộc bán đấu giá; Phiếu trả giá, phong bì đựng trả giá; Tài liệu liên quan đến tài sản đấu giá;
Hồ sơ tham gia đấu giá gồm: Phiếu đăng ký tham gia đấu giá (Theo mẫu); Thẻ Căn cước/Căn cước công dân còn giá trị sử dụng (01 bản sao); Biên lai/ phiếu báo nợ/ Sao kê giao dịch thành công/Giấy tờ thể hiện việc chuyển tiền đặt trước (Gọi chung là giấy nộp tiền đặt trước); Phiếu trả giá (Theo mẫu); Giấy ủy quyền bằng văn bản theo quy định của pháp luật và bản sao CC/CCCD của người được ủy quyền tham gia đấu giá.
Thời gian, địa điểm tham khảo, bán hồ sơ mời tham gia đấu giá, tiếp nhận hồ sơ tham gia đấu giá: Phương thức nộp hồ sơ tham gia đấu giá
Thời gian, địa điểm bán hồ sơ mời tham gia đấu giá, tiếp nhận hồ sơ tham gia đấu giá: Từ 7 giờ 30 phút ngày 12/3/2025 đến 17 giờ 00 phút ngày 25/3/2026 (trong giờ hành chính), cụ thể:
+ Từ 7 giờ 30 phút ngày 12/3/2025 đến 17 giờ 00 phút ngày 25/3/2026 (trong giờ hành chính) tại Công ty đấu giá hợp danh Hòa Bình.
+ Từ 7 giờ 30 phút đến 17 giờ 00 phút (Trong giờ hành chính) trong các ngày 16,17, 18/3/2026 và ngày 20, 23/3/2026 tại Ban Quản lý dự án Đầu tư xây dựng khu vực Bảo Thắng.
Phương thức nộp hồ sơ tham gia đấu giá: Người tham gia đấu giá nộp hồ sơ cho Công ty đấu giá hợp danh Hòa Bình sau khi đã ghi đầy đủ các thông tin vào hồ sơ tham gia đấu giá, theo phương thức:
- Phiếu trả giá của người tham gia đấu giá phải được cho vào phong bì dán kín, có chữ ký của người trả giá tại các mép của phong bì đựng phiếu. Phiếu trả giá nộp trực tiếp hoặc gửi qua đường bưu chính cho Công ty đấu giá hợp danh Hòa Bình để bỏ vào thùng phiếu trong thời hạn quy định. Thùng phiếu phải được niêm phong ngay khi hết thời hạn nhận phiếu.
* Hồ sơ nộp trực tiếp cho Công ty gồm:
- Phiếu đăng ký tham gia đấu giá (theo mẫu);
- Bản sao CC/CCCD đang trong thời hạn sử dụng
- Biên lai/ phiếu báo nợ/ Sao kê giao dịch thành công/Giấy tờ thể hiện việc chuyển tiền đặt trước (Gọi chung là giấy nộp tiền đặt trước);
- Giấy ủy quyền bằng văn bản theo quy định của pháp luật và Bản sao CC/CCCD của người được ủy quyền tham gia đấu giá.
Lưu ý: Người đăng ký tham gia đấu giá chịu trách nhiệm về việc bảo mật thông tin trong hồ sơ, phiếu trả giá của mình
Thời gian, địa điểm đăng ký xem tài sản: Liên tục trong 03 ngày, từ ngày 16/3/2026 đến ngày 18/3/2026 (trong giờ hành chính) tại vị trí các thửa đất đấu giá tại xã Bảo Thắng, tỉnh Lào Cai (Ngoài thời gian xem tài sản nêu trên, khách hàng có nhu cầu xem tài sản trực tiếp liên hệ Công ty đấu giá hợp danh Hòa Bình để được hướng dẫn).
Người đăng ký tham gia đấu giá nếu không xem thực tế thửa đất mình đăng ký phải tự chịu trách nhiệm về hiện trạng của thửa đất nếu trúng đấu giá và không được kiến nghị, khiếu nại về việc đó.
Thời gian, địa điểm niêm phong thùng phiếu trả giá:
- Thời gian: Vào lúc 17 giờ 00 phút ngày 25/3/2026
- Địa điểm: Trụ sở Công ty đấu giá hợp danh Hòa Bình (SN 080, đường Quy Hóa, phường Lào Cai, tỉnh Lào Cai)
* Mọi chi tiết xin liên hệ :
- Công ty đấu giá hợp danh Hòa Bình, ĐT: 0214 3840 0683;
- Ban Quản lý dự án Đầu tư xây dựng khu vực Bảo Thắng, ĐT: 0985 808 222.