Thanh Hóa hoàn thành 93% chỉ tiêu nhà ở xã hội năm 2025
(PLVN) - Trong bối cảnh nhu cầu chỗ ở của người thu nhập thấp, công nhân và người lao động ngày càng gia tăng, Thanh Hóa đang tập trung đẩy nhanh tiến độ các dự án nhà ở xã hội, đồng thời chuẩn bị nguồn lực nhằm bảo đảm chỉ tiêu phát triển nhà ở xã hội theo kế hoạch của Chính phủ.
Theo chỉ tiêu Chính phủ giao năm 2025, Thanh Hóa phải hoàn thành 5.249 căn nhà ở xã hội (NƠXH). Đến nay, toàn tỉnh đã hoàn thành 4.877 căn, đạt khoảng 93% kế hoạch. Đối với số căn còn lại, UBND tỉnh đã chỉ đạo các chủ đầu tư tập trung nguồn lực đẩy nhanh tiến độ, phấn đấu hoàn thiện và đưa vào sử dụng chậm nhất trong quý I/2026.
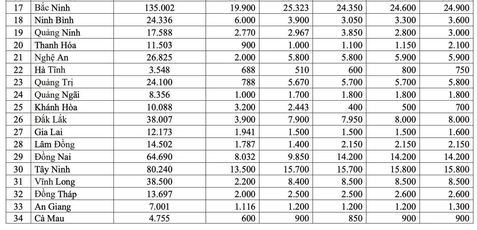
Tính chung giai đoạn 2025-2030, Thanh Hóa đã thực hiện khoảng 42% chỉ tiêu phát triển NƠXH cả giai đoạn theo kế hoạch Chính phủ giao là 11.503 căn.
Hiện trên địa bàn tỉnh Thanh Hóa có 6 dự án NƠXH đã khởi công và đang triển khai thi công; đồng thời, 3 dự án khác đang tổ chức đấu thầu lựa chọn chủ đầu tư, với tổng quy mô khoảng 7.000 căn hộ, bảo đảm khả năng hoàn thành chỉ tiêu phát triển NƠXH giai đoạn 2026-2030.
Đối với thị trường bất động sản nói chung, nguồn cung các dự án trên địa bàn tỉnh tương đối đa dạng về loại hình; thị trường phát triển ổn định, không xuất hiện tình trạng tồn kho đối với các dự án bảo đảm đầy đủ pháp lý và đủ điều kiện đưa vào giao dịch kinh doanh. Toàn tỉnh hiện có 56 dự án bất động sản còn vướng mắc và 48 dự án chưa được đưa vào sử dụng.
Về nhu cầu NƠXH, kết quả khảo sát bước đầu cho thấy toàn tỉnh Thanh Hóa có khoảng 14.775 đối tượng có nhu cầu mua, thuê mua NƠXH. UBND tỉnh Thanh Hóa đang tiếp tục rà soát nhu cầu thuê nhà ở trên địa bàn, bao gồm NƠXH và nhà ở cho cán bộ, công chức, viên chức, người lao động, làm cơ sở đề xuất chỉ tiêu phát triển nhà ở cho thuê giai đoạn 2027-2030.
Liên quan đến việc thành lập Quỹ nhà ở địa phương, UBND tỉnh Thanh Hóa đã thống nhất chủ trương giao Quỹ Đầu tư phát triển Thanh Hóa thực hiện các mục tiêu của Quỹ nhà ở địa phương theo quy định. Hiện các cơ quan chức năng đang rà soát, tham mưu điều chỉnh quy định về tổ chức, chức năng, nhiệm vụ của quỹ, bảo đảm phù hợp với Nghị định số 302/2025/NĐ-CP ngày 19/11/2025 của Chính phủ.
Dự kiến trong tháng 2/2026 sẽ hoàn tất các thủ tục liên quan đến việc thành lập Quỹ nhà ở địa phương.
Chính phủ vừa ban hành Nghị quyết số 07/NQ-CP ngày 12/1/2026 về việc giao chỉ tiêu phát triển NƠXH cho các địa phương giai đoạn 2026-2030. Theo đó, chỉ tiêu Thanh Hóa phải hoàn thành NƠXH trong cả giai đoạn 2025-2030 là 11.503 căn. Trong đó, chỉ tiêu của năm 2026 là 900 căn; năm 2027 là 1.000 căn; năm 2028 là 1.100 căn; năm 2029 là 1.150 căn và năm 2030 nhiều nhất với 2.100 căn.

