Giải đề thi tốt nghiệp THPT môn Tiếng Anh 2014
(PLO) -Với bài thi này sẽ rất dễ để các em đạt được mức điểm từ 8 trở lên, nhưng nếu muốn được trọn vẹn 10 điểm thì hơi khó. Pháp luật Việt Nam trân trọng gửi tới độc giả đáp án đề thi tốt nghiệp THPT môn Tiếng Anh 2014
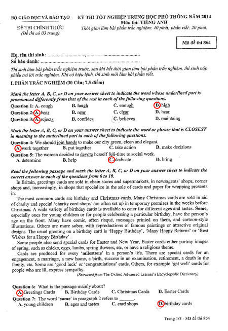
Cấu trúc đề thi tốt nghiệp THPT môn Tiếng Anh 2014 vẫn giống như mọi năm. Điểm khác biệt duy nhất là đề thi năm nay có thêm phần viết, nếu không cẩn thận các em sẽ dễ bị mất điểm tại phần này. Bên cạnh đó, đề thi có một số câu mang tính chất đánh lừa thí sinh trong phần phát âm và cách sử dụng từ.
Nguyễn Quân


