Đã có gợi ý đáp án môn Toán kỳ thi THPT Quốc gia 2015
(PLO) - Sáng nay 1/7, khoảng 950.000 thí sinh đã làm bài thi môn toán trong kỳ thi THPT quốc gia năm 2015. Theo nhận xét của một một số thí sinh, đề thi không quá khó.
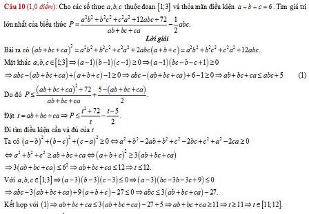
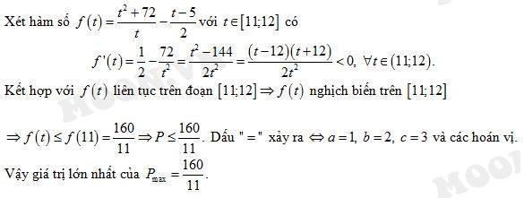
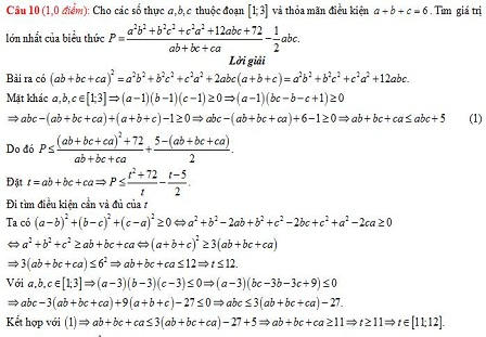
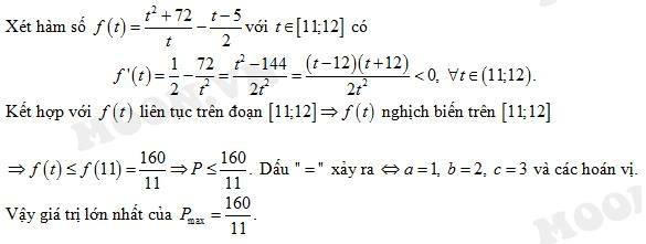
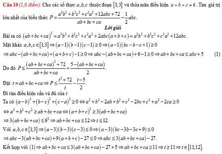
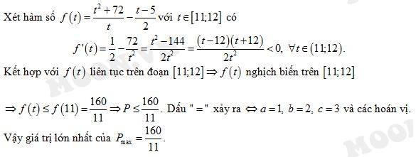
Đề thi tốt nghiệp THPT Quốc gia môn Toán năm 2015:
Trường Huy (tổng hợp)











