Công ty Cổ phần ĐG Việt Nam thông báo bán đấu giá
(PLO) - Công ty Cổ phần ĐG Việt Nam tổ chức Phiên bán đấu giá tài sản số: 62-06/2015/ĐG-ĐG VN
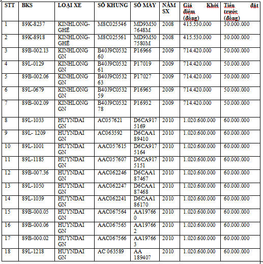
Giá trên đã bao gồm VAT = 0
(Mức giá trên chưa bao gồm lệ phí để chuyển quyền sở hữu tài sản và các loại thuế khác theo quy định của pháp luật (Do người mua chịu);
• Người có tài sản đấu giá: Ngân hàng nông nghiệp và phát triển nông thôn Việt Nam - Địa chỉ: 793 Nguyễn Văn Linh, phường Hiến Nam, TP Hưng Yên, tinh Hưng Yên
• Nguồn gốc tài sản: Tài sản bảo lãnh cho khoản vay của Công ty Cổ phần Tập đoàn Vận tải Phượng Hoàng.
• Thời gian mua hồ sơ, nộp phiếu đăng ký tham gia đấu giá: từ ngày 18/10/2017 đến 16h00 ngày 07/11/2017 (trong giờ hành chính); Tiền mua hồ sơ tham gia đấu giá : 500.000 VNĐ (Bằng chữ: Năm trăm nghìn đồng chẵn)/01 bộ;
• Thời gian xem tài sản: Từ ngày 06/11/2017 đến ngày 07/11/2017( trong giờ hành chính);
• Địa điểm xem tài sản tại: Bến xe Triều Dương, xã Thiện Phiến, huyện Tiên Lữ, tỉnh Hưng Yên.
• Thời gian nộp tiền đặt trước: từ ngày 01/11/2017 đến ngày 03/11/2017 (trong giờ hành chính);
• Địa điểm đăng ký mua hồ sơ, nộp phiếu đăng ký tham gia: Phòng 405, tòa nhà B10A, KĐT Nam Trung Yên,Cầu Giấy, TP Hà Nội;
• Tiền đặt trước nộp vào Tài khoản số: 7333337 tại Ngân hàng Vietbank- PGD Trung Hòa, Tên TK: Công ty Cổ phần ĐG Việt Nam;
• Thời gian bán đấu giá tài sản: 14h30 ngày 09/11/2017;
• Địa điểm bán đấu giá tài sản: Công ty Cổ phần ĐG Việt Nam: Phòng 405, tòa nhà B10A, KĐT Nam Trung Yên,Cầu Giấy, TP Hà Nội;.
• Hình thức đấu giá: đấu giá bằng bỏ phiếu trực tiếp tại cuộc đấu giá. Phương thức trả lên.
• Liên hệ: VP Công ty Cổ phần ĐG Việt Nam: Phòng 405, tòa nhà B10A, KĐT Nam Trung Yên,Cầu Giấy, TP Hà Nội;
Điện thoại: 0462575577, 0982226166 A. Mẫn
