Cập nhật đề thi và đáp án môn Toán tốt nghiệp THPT năm 2021

(PLVN) - Toán là môn thi thứ 2 trong kỳ thi tốt nghiệp THPT, thời gian làm bài là 90 phút với 50 câu hỏi.

Kiến thức sử dụng trong đề nằm chủ yếu ở lớp 12. Đề thi sẽ đánh giá tổng quan kiến thức của thí sinh ở 3 phần Đại số - Lượng giác - Hình học. Yêu cầu thí sinh cần phải vận dụng nhiều kiến thức như: Hình học không gian, Tổ hợp - Xác xuất, Nguyên hàm - Tích phân...

Khi thí sinh ra khỏi phòng thi, PLVN sẽ cập nhật đề thi và gợi ý đáp án môn Toán thi tốt nghiệp THPT.

Đáp án môn Toán thi tốt nghiệp THPT 2021:

Cập nhật đề thi và đáp án môn Toán tốt nghiệp THPT năm 2021
Cập nhật đề thi và đáp án môn Toán tốt nghiệp THPT năm 2021
Cập nhật đề thi và đáp án môn Toán tốt nghiệp THPT năm 2021
Cập nhật đề thi và đáp án môn Toán tốt nghiệp THPT năm 2021
Cập nhật đề thi và đáp án môn Toán tốt nghiệp THPT năm 2021
Cập nhật đề thi và đáp án môn Toán tốt nghiệp THPT năm 2021
Cập nhật đề thi và đáp án môn Toán tốt nghiệp THPT năm 2021
Cập nhật đề thi và đáp án môn Toán tốt nghiệp THPT năm 2021
Cập nhật đề thi và đáp án môn Toán tốt nghiệp THPT năm 2021
Cập nhật đề thi và đáp án môn Toán tốt nghiệp THPT năm 2021
Cập nhật đề thi và đáp án môn Toán tốt nghiệp THPT năm 2021
Cập nhật đề thi và đáp án môn Toán tốt nghiệp THPT năm 2021
Cập nhật đề thi và đáp án môn Toán tốt nghiệp THPT năm 2021
Cập nhật đề thi và đáp án môn Toán tốt nghiệp THPT năm 2021
Cập nhật đề thi và đáp án môn Toán tốt nghiệp THPT năm 2021
Cập nhật đề thi và đáp án môn Toán tốt nghiệp THPT năm 2021
Cập nhật đề thi và đáp án môn Toán tốt nghiệp THPT năm 2021
Cập nhật đề thi và đáp án môn Toán tốt nghiệp THPT năm 2021
Cập nhật đề thi và đáp án môn Toán tốt nghiệp THPT năm 2021
Cập nhật đề thi và đáp án môn Toán tốt nghiệp THPT năm 2021
Cập nhật đề thi và đáp án môn Toán tốt nghiệp THPT năm 2021
Cập nhật đề thi và đáp án môn Toán tốt nghiệp THPT năm 2021
Cập nhật đề thi và đáp án môn Toán tốt nghiệp THPT năm 2021
Cập nhật đề thi và đáp án môn Toán tốt nghiệp THPT năm 2021

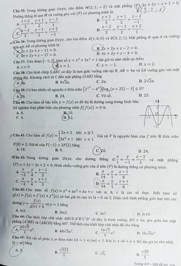
Đề thi môn Toán thi tốt nghiệp THPT 2021:

- Mã đề 106

Cập nhật đề thi và đáp án môn Toán tốt nghiệp THPT năm 2021
Cập nhật đề thi và đáp án môn Toán tốt nghiệp THPT năm 2021
Cập nhật đề thi và đáp án môn Toán tốt nghiệp THPT năm 2021
Cập nhật đề thi và đáp án môn Toán tốt nghiệp THPT năm 2021
Cập nhật đề thi và đáp án môn Toán tốt nghiệp THPT năm 2021

- Mã đề 114

Cập nhật đề thi và đáp án môn Toán tốt nghiệp THPT năm 2021
Cập nhật đề thi và đáp án môn Toán tốt nghiệp THPT năm 2021
Cập nhật đề thi và đáp án môn Toán tốt nghiệp THPT năm 2021
Cập nhật đề thi và đáp án môn Toán tốt nghiệp THPT năm 2021
Cập nhật đề thi và đáp án môn Toán tốt nghiệp THPT năm 2021

Nguồn: Vietnamnet

Theo Bộ GD&ĐT, năm nay, kỳ thi tốt nghiệp THPT năm 2021 sẽ diễn ra với 2 đợt, đợt 1 từ ngày 7- 8/7/2021; đợt 2 cho những thi sinh không thể tham dự kỳ thi vào các ngày 7, 8/7 do bị ảnh hưởng bởi dịch COVID-19.

P.V